УДК/UDK 620.179.16
A.V. Vysokin (1), lead engineer
S.V. Vysokin (2), engineer
(1) JSC Research Center of Construction (6, 2nd Institutskaya Street, Moscow, 109 428, Russian Federation)
(2) LLC «Tomografiya zhelezobetona» (2, Moskovskikh stroitelei Street, Tuapse, Krasnodar krai, 352 803, Russian Federation)
А.В. Высокин (1), ведущий инженер
C.В. Высокин (2), инженер
(1) НИЦ «Строительство» (109 428, г. Москва, 2-я Институтская ул., 6)
(2) ООО «Томография железобетона» (352 803, Краснодарский край, г. Туапсе, ул. Московских строителей, 2)
ПОВЫШЕНИЕ ТОЧНОСТИ ОПРЕДЕЛЕНИЯ ПОЛОЖЕНИЯ ЭЛЕМЕНТОВ АРМАТУРНОГО КАРКАСА ЖЕЛЕЗОБЕТОННЫХ КОНСТРУКЦИЙ УЛЬТРАЗВУКОВЫМ ЭХОМЕТОДОМ
Аннотация
Введение.
Особенности технологии изготовления железобетонных конструкций приводят к тому, что физико-механические характеристики бетона зачастую распределены в объѐме изделия неравномерно. Это происходит потому, что под действием собственного веса плотность бетона в нижней части железобетонных конструкций, особенно вертикально ориентированных (колонны, пилоны, стены), становится выше по сравнению с верхними слоями бетона, а при заливке бетона крупный наполнитель (щебень) большего размера скапливается в нижней части изделия. Кроме того, расположение арматурного каркаса в конструкции, зависит от специфики ее работы в конструкции, как несущего элемента, и часто, отличается в различных зонах конструкции. Соответственно, отдельные зоны железобетонных конструкций могут быть армированы с разным коэффициентом армирования, более или менее плотным расположением рабочей и конструктивной арматуры. В густоармированных зонах конструкций возрастает риск образования дефектов внутренней структуры бетона (участков недостаточно уплотненного бетона, полостей, каверн и т. д.). Все это приводит к неравномерному распределению свойств бетона по объему изделия, что проявляется в неравномерном распределении скоростей и амплитуд ультразвуковых сигналов. Очевидно, что при контроле таких железобетонных конструкций проблема неравномерности распределения скорости ультразвуковых волн может привести к погрешностям в определении координат дефектов и толщины изделия в том случае, если при измерении в различных точках одного и того же изделия использовать значение скорости ультразвука, измеренное в одной конкретной точке железобетонной конструкции.
Цель.
Повышение точности определении параметров армирования и положения элементов арматурного каркаса железобетонных конструкций ультразвуковым эхометодом. Разработка алгоритма проведения измерений и методики обработки данных для определения толщины защитного слоя бетона стальной арматуры с последующей математической обработкой (построение градуировочной зависимости).
Материалы и методы.
В статье использован метод экспериментального исследования натурных конструкций. Теоретические исследования проведены с использованием алгоритмов и методов математической статистики. Количественные оценки, настройка и тестирование систем и алгоритмов измерений проведены с помощью современных средств автоматизации вычислений.
Результаты.
Автором предложена методика, позволяющая повысить точность определении параметров армирования и положения элементов арматурного каркаса железобетонных конструкций ультразвуковым эхометодом. Предложен алгоритм проведения измерений и методика обработки данных для определения толщины защитного слоя бетона стальной арматуры с последующей математической обработкой (построение градуировочной зависимости). Достоверность полученных результатов и выводов подтверждена экспериментальной проверкой материалов исследований.
Выводы.
Использование предложенной методики обработки данных для определения толщины защитного слоя бетона стальной арматуры ультразвуковым эхометодом с последующей математической обработкой (построение градуировочной зависимости) для железобетонных конструкций с высокой неоднородностью распределения свойств бетона в массиве конструкции, позволяет повысить точность определении параметров армирования и положения элементов арматурного каркаса.
Ключевые слова: ультразвуковой эхометод, ультразвуковой томограф, железобетонные конструкции, параметры армирования, градуировочная зависимость.
IMPROVING THE ACCURACY OF DETERMINING THE POSITION OF REINFORCEMENT FRAME ELEMENTS IN CONCRETE STRUCTURES USING ULTRASONIC ECHO METHODS
Abstract
Introduction.
The specifics of reinforced concrete manufacturing technology mean that the physical and mechanical properties of concrete are often distributed unevenly within the structure. This often occurs because, under the influence of its own weight, the concrete density in the lower portion of reinforced concrete structures, especially vertically oriented structures (columns, pylons, walls), often becomes higher than that in the upper layers of concrete. During concrete pouring, larger aggregate (gravel) accumulates at the bottom of the structure. Furthermore, the placement of the reinforcement cage within the structure depends on its specific function as a load-bearing element and often varies across different zones. Accordingly, individual zones of reinforced concrete structures may be reinforced with different reinforcement ratios, with more or less dense arrangements of the working and structural reinforcement. In densely reinforced zones of structures, the risk of developing defects in the internal structure of the concrete (areas of insufficiently compacted concrete, cavities, caverns, etc.) increases. All this leads to an uneven distribution of concrete properties throughout the product, which manifests itself in an uneven distribution of ultrasonic signal velocities and amplitudes. Obviously, when inspecting such reinforced concrete structures, the problem of uneven ultrasonic wave velocity distribution can lead to errors in determining defect coordinates and product thickness if the ultrasonic velocity value measured at a single point on the reinforced concrete structure is used when measuring at different points on the same product.
Materials and methods.
The article uses the method of experimental research of full-scale structures. Theoretical research is conducted using algorithms and methods of mathematical statistics. Quantitative assessments, configuration, and testing of measurement systems and algorithms are conducted using modern computational automation tools.
Results.
The author proposes a method for improving the accuracy of determining reinforcement parameters and the position of reinforcement cage elements in reinforced concrete structures using ultrasonic pulse echo. A measurement algorithm and data processing method are proposed for determining the thickness of the concrete cover of steel reinforcement, followed by mathematical processing (construction of a calibration curve). The reliability of the obtained results and conclusions is confirmed by experimental verification of the research materials.
Conclusions.
The use of the proposed data processing method for determining the thickness of the concrete protective layer of steel reinforcement using the ultrasonic echo method, followed by mathematical processing (construction of a calibration dependence) for reinforced concrete structures with high heterogeneity in the distribution of concrete properties in the structure’s massif, allows for increasing the accuracy of determining the reinforcement parameters and the position of the reinforcement cage elements.
Keywords: ultrasonic pulse echo, ultrasonic tomograph, reinforced concrete structures, reinforcement parameters, calibration dependence.
Введение
Ультразвуковой эхометод (метод ультразвуковой эхо-томографии) может применяться для определения параметров армирования железобетонных конструкций при техническом обследовании [1].
Особенности технологии изготовления железобетонных конструкций приводят к тому, что физико-механические характеристики бетона зачастую распределены в объѐме изделия неравномерно. Это происходит потому, что под действием собственного веса плотность бетона в нижней части железобетонных конструкций, особенно вертикально ориентированных (колонны, пилоны, стены), обычно выше по сравнению с верхними слоями бетона, а при заливке бетона наполнитель (гравий) большего размера скапливается в нижней части изделия. Кроме того, расположение арматурного каркаса в конструкции, зависит от специфики ее работы в конструкции, как несущего элемента, и часто, отличается в различных зонах конструкции.
Соответственно, отдельные зоны железобетонных конструкций могут быть армированы с разным коэффициентом армирования, более или менее плотным расположением рабочей и конструктивной арматуры. В густоармированных зонах конструкций возрастает риск образования дефектов внутренней структуры бетона (участков недостаточно уплотненного бетона, полостей, каверн и т. д.).
Все это приводит к неравномерному распределению свойств бетона по объему изделия, что проявляется в неравномерном распределении скоростей и амплитуд ультразвуковых сигналов. Очевидно, что при контроле таких железобетонных конструкций проблема неравномерности распределения скорости ультразвуковых волн может привести к погрешностям в определении координат дефектов и толщины изделия в том случае, если при измерении в различных точках одного и того же изделия использовать значение скорости ультразвука, измеренное в одной конкретной точке железобетонной конструкции [2-5].
Принцип предлагаемого метода
Для повышения точности определения толщины защитного слоя бетона стальной арматуры ультразвуковым эхометодом, в железобетонных конструкциях с высокой неоднородностью распределения свойств бетона в массиве конструкции, необходимо выполнять последующую математическую обработку (установление градуировочной зависимости).
Процедура установления градуировочной зависимости показана на следующем примере. На рисунке 1 (рис.1) показаны обследуемые железобетонные конструкции плиты перекрытия здания автомобильного паркинга с высокой неоднородностью распределения свойств бетона и скорости ультразвуковых волн на участках обследования ультразвуковым эхометодом.
Проектная толщина плиты 200 мм. Класс бетона по прочности на сжатие В25. Армирование плиты перекрытия выполнено стержневой арматурой d10A500 в 4 слоя в двух направлениях. Проектный шаг стержней основного армирования составляет 200 мм.
В этом случае, определение положения элементов арматурного каркаса по томограммам (определение координаты (ZТ) центров арматурных стержней), будет выполнено с значительной погрешностью.
Отклонения величин координат центров образов арматурных стержней у нижней грани плиты, определяемых по томограмме от фактических координат, определяемых прямыми измерениями (ZТ-Zф), находятся в диапазоне 19-23мм.
Отклонения величин координат центров образов арматурных стержней у верхней грани плиты, определяемых по томограмме от фактических координат, определяемых прямыми измерениями (ZТ-Zф), находятся в диапазоне 7-8мм.
Отклонения величин координат донных образов, определяемых по томограмме от фактических координат, определяемых прямыми измерениями (ZТ-Zф), находятся в диапазоне 5-7мм.
Для повышения точности определения толщины защитного слоя бетона стальной арматуры ультразвуковым эхометодом, предлагается выполнить установление градуировочной зависимости, между величиной ZT — координатой центра образа арматурного стержня или донного образа, определяемой по томограммам (B-сканам) и величиной Zф — координатой центра арматурного стержня или толщиной конструкции, определяемой прямыми измерениями в натуре.
Методика установления градуировочной зависимости
Установим функциональную зависимость между двумя эмпирическими данными ZT и Zф, значения которых внесены в таблицу 1:
Точки (ZTi; Zфi) координатной плоскости принято называть экспериментальными. Установим вид функции y=f(x) по характеру расположения на координатной плоскости экспериментальных точек.
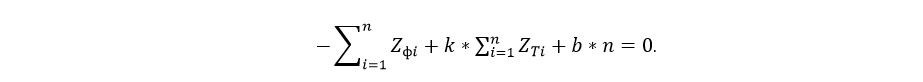
Предполагаем, что между ZT и Zф существует линейная зависимость, выражающаяся линейной теоретической функции вида у = k*x+b. Тогда уравнение примет вид
Zф = k*ZT+b (1).
Уравнение (1) можно представить в виде Zф — (k*ZT +b)=0
Так как точки (ZT1; Zф1), (ZT2; Zф2), … (ZTn; Zфn) не обязательно лежат на одной прямой, то, подставляя вместо ZT и Zф значения координат этих точек в выражение Zф — (k*ZT +b), получаем равенства:
Zф1 –(k*ZT1 +b)= δ1, Zф2 –(k*ZT2+b)= δ2 , … Zфn — (k*ZTn +b)= δn , где δ1, δ1, … , δ1 — некоторые числа, которые называют погрешностями (отклонениями, невязками).
Чем меньше эти погрешности по абсолютной величине, тем лучше прямая, задаваемая уравнением Zф = k*ZT+b, описывает зависимость между значениями, полученными при выполнении параллельных измерений фактических параметров армирования ультразвуковым эхометодом и прямыми измерениями в выполненных вскрытиях или шпурах.
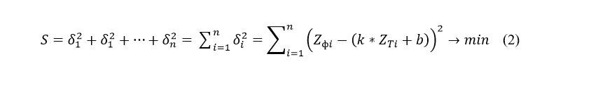
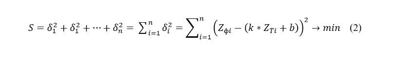
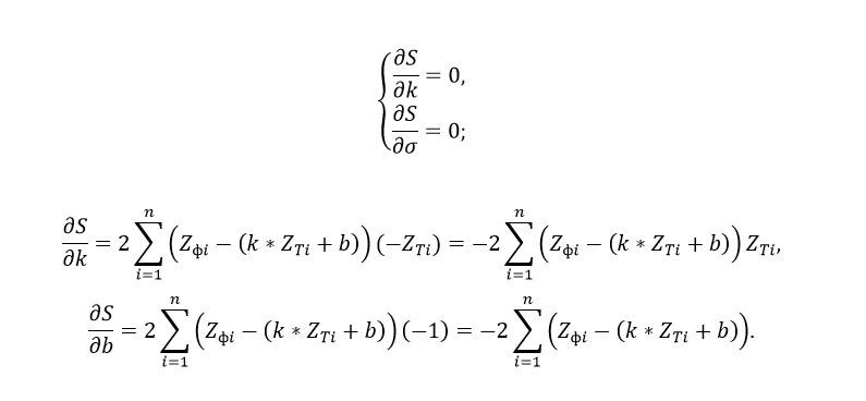
Сущность метода наименьших квадратов заключается в подборе коэффициентов k и b таким образом, чтобы сумма квадратов погрешностей была как можно меньшей:
Отметим, что в равенстве (2) находится сумма именно квадратов погрешностей, так как в случае суммирования самих погрешностей, так как в случае суммирования самих погрешностей δi сумма может оказаться малой за счет разных знаков погрешностей.
Так как в равенстве (2) ZТi и Zфi — заданные числа, а k и b — неизвестные, то сумму S можно, рассматриваем как функцию двух переменных k и b: S=S(k, b).
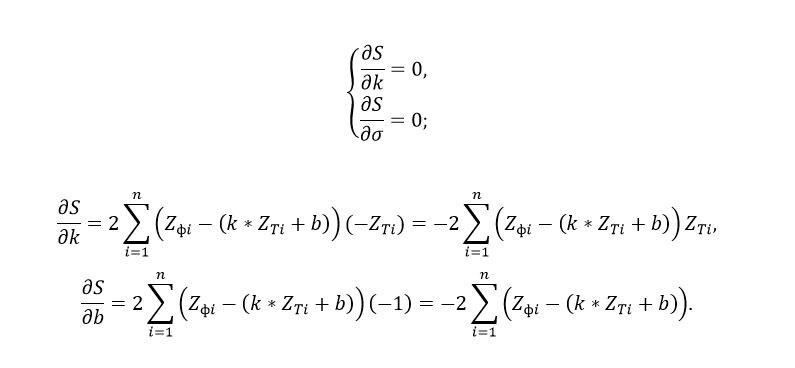
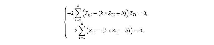
Исследуем ее на экстремум. Необходимое условие существования экстремума функции двух переменных:
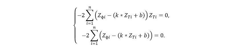
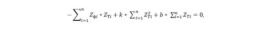
Приравнивая эти частные производные к нулю, получаем линейную систему двух уравнений с двумя переменными k и b:
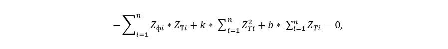
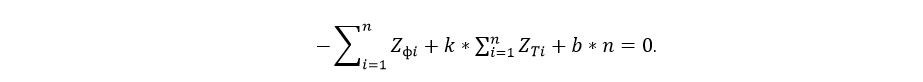
Преобразуя первое уравнение системы, получим:
Преобразуя второе уравнение системы, получим:
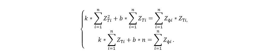
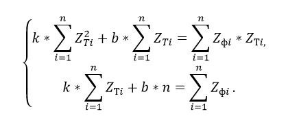
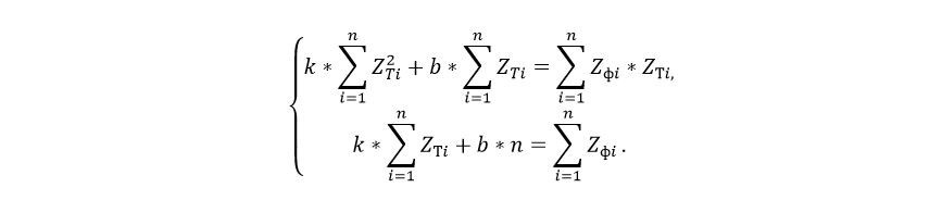
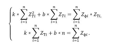
Откуда имеем систему (3):
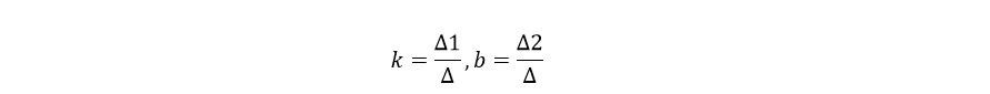
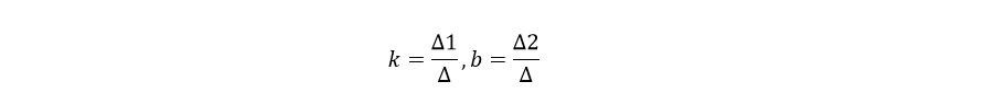
Система (3) называется нормальной системой. Из этой системы по формулам Крамера находим k и b, которые затем подставляем в уравнение (1) и получаем искомое уравнение прямой:
где Δ — определитель, составленный из коэффициентов при неизвестных в составленной системе,
Δ1 — определитель, полученный из определителя Δ заменой 1-го столбца на столбец свободных членов,
Δ2 — определитель, полученный из определителя Δ заменой 2-го столбца на столбец свободных членов, то есть
Апробация методики
Для установления градуировочной зависимости, выполнены параллельные измерения фактических параметров армирования ультразвуковым эхометодом и прямыми измерениями в выполненных вскрытиях или шпурах на 12 участках. Антенная решетка прибора на всех участках параллельных измерений располагалась на нижней грани плиты перекрытия.
Измерения координат центров образов арматурных стержней или донных образов (ZTi) выполнялись по полученным томограммам (B-сканам) с точностью до миллиметра. Измерения координат центров арматурных стержней у верхней и нижней граней плиты и фактической толщины плиты прямым методом, выполнялись штангенглубиномером в локальных вскрытиях защитного слоя бетона с точностью до миллиметра.
В таблице 2 представлены результаты определения фактических параметров армирования ультразвуковым эхометодом и прямыми измерениями на отдельных участках.
Где, ZTi — координата центра образа арматурного стержня или донного образа, определяемые по томограмме (B-скан);
Zфi — фактическая координата центра арматурного стержня или толщина конструкции, определяемые прямыми измерениями в натуре (в выполненных вскрытиях или шпурах);
Установим вид функции y=f(x) по характеру расположения на координатной плоскости экспериментальных точек. Предполагаем, что между ZTi и Zфi существует линейная зависимость, выражающаяся формулой:
Zф = k*ZT + b (1)
С помощью метода наименьших квадратов найдем фунцию Zф = k*ZT + 𝑏 по экспериментальным данным, приведенным в таблице. Построим экспериментальные точки и полученную теоретическую прямую. Найдем коэффициенты k и b.
Для этого составим и решим нормальную систему уравнений:
n – число участков определения фактических параметров армирования ультразвуковым эхометодом и прямыми измерениями в выполненных вскрытиях или шпурах, n = 12.
Найдем суммы, которые входят в систему уравнений. Для удобства вычислений составим таблицу 3.
Где, ZTi — координата центра образа арматурного стержня или донного образа, определяемые по томограмме (B-скану);
Zф. расч.i — координата центра образа арматурного стержня или донного образа, определяемые по установленной градуировочной зависимости;
Zфi — координата центра арматурного стержня или толщина конструкции, определяемые прямыми измерениями в натуре (в выполненных вскрытиях или шпурах);
— отклонение величины координаты центра образа арматурного стержня или донного образа, определяемой по установленной градуировочной зависимости от фактической величины, определяемой прямыми измерениями;
Таким образом, нормальная система принимает вид:
Решая систему, находим
k = 1,11
b = -27,51
Следовательно, уравнение искомой прямой Zф.расч.=1,11*ZT — 27,51.
Вычислим для исходных значений ZTi, расчетные значения Zф.расч.i =k*ZTi+b, мм по градуировочной зависимости. Результаты внесем в таблицу 3.
Получили наилучшую теоретическую линейную функцию Zф.расч.=1,11*ZT — 27,51 (Рис.3)
Качество результатов
измерений координат центров арматурных стержней у нижней и верхней граней плиты
и толщины плиты перекрытия оценим по величине абсолютной и относительной
погрешности для вариантов измерений с установлением и без установления
градуировочной зависимости. Результаты представлены в таблицах 4 и 5.
Выводы
Использование предложенной методики обработки данных для определения толщины защитного слоя бетона стальной арматуры ультразвуковым эхометодом с помощью установления градуировочной зависимости для железобетонных конструкций с высокой неоднородностью распределения свойств бетона в массиве конструкции, позволило повысить точность определении параметров армирования и положения элементов арматурного каркаса.
Методика применима для всех типов железобетонных конструкций с высокой неоднородностью распределения свойств бетона в массиве конструкции, на которых возможно получение томограмм с выявляемыми на них образами арматурных стержней и донного образа, для которых существует возможность выполнения параллельных измерений величин толщины защитного слоя (или центров арматурных стержней) в рядах армирования и толщины конструкции ультразвуковым эхометодом и методом прямых измерений в выполненных вскрытиях (участках зондирования).
Список литературы
1.ГОСТ 31937-2024. Здания и сооружения. Правила обследования и мониторинга технического состояния. Москва: Российский институт стандартизации, 2024.
2.Концов Р.В., Качанов В. К. Исследование различных методов определения скорости распространения акустических сигналов применительно к задаче структуроскопии изделий. Радиоэлектроника, Электротехника и Энергетика. 18 Международная НТ конф. студентов и аспирантов. Тез. докл., Т.2, Изд.дом МЭИ, 2012. С. 139.
3.Концов Р.В., Качанов В. К. Определение скорости распространения акустической волны в бетонных изделиях произвольной формы мультипликативно-корреляционным методом. 15 Международная научно-техническая конференция студентов и аспирантов: Тезисы докладов. В 3-х т. Т. 1. М.: Издательский дом МЭИ, 2009. — С. 180-181.
4.Концов Р.В., Качанов В.К. Мультипликативно-корреляционный метод измерения скорости акустических волн в протяженных изделиях. 16 Международная научно-техническая конференция студентов и аспирантов: Тезисы докладов. В 3-х т. Т. 1. М.: Издательский дом МЭИ, 2010. — С. 219.
5.Vladimir K. Kachanov, Igor V. Sokolov, Alexey A. Sinitsyn, Roman V. Kontsov, Maksim B. Fedorov // Application of «Focusing in a Point» Algorithm for Standard-Exclusion Measurement of Ultrasound Velocity in the Process of Tomography of Concrete Product»//Asian Research Publishing Network. Journal of Engineering and Applied Sciences. Asian Research Publishing Network (ARPN). 2017. vol. 12, No. 24, PP. 7172-7178. ISSN 1819-6608.
References
1.GOST 31937-2024. Buildings and structures. Rules for surveying and monitoring the technical condition. Moscow: Russian Institute of Standardization, 2024.
2.Kontsov R.V., Kachanov V.K. Study of various methods for determining the propagation velocity of acoustic signals in relation to the problem of structuroscopy of products. Radioelectronics, Electrical Engineering and Power Engineering. 18th International Scientific and Technological Conf. of Students and Postgraduates. Abstracts of the report, Vol. 2, MPEI Publishing House, 2012. P. 139.
3.Kontsov R.V., Kachanov V.K. Determination of the acoustic wave propagation velocity in concrete products of arbitrary shape by the multiplicative-correlation method. 15th International Scientific and Technical Conference of Students and Postgraduates: Abstracts of Reports. In 3 volumes. Vol. 1. Moscow: MPEI Publishing House, 2009. — Pp. 180-181.
4.Kontsov R.V., Kachanov V.K. Multiplicative-correlation method for measuring the acoustic wave velocity in extended products. 16th International Scientific and Technical Conference of Students and Postgraduates: Abstracts of Reports. In 3 volumes. Vol. 1. Moscow: MPEI Publishing House, 2010. — P. 219.
5.Vladimir K. Kachanov, Igor V. Sokolov, Alexey A. Sinitsyn, Roman V. Kontsov, Maksim B. Fedorov // Application of «Focusing in a Point» Algorithm for Standard-Exclusion Measurement of Ultrasound Velocity in the Process of Tomography of Concrete Product»//Asian Research Publishing Network. Journal of Engineering and Applied Sciences. Asian Research Publishing Network (ARPN). 2017. vol. 12, No. 24, PP. 7172-7178. ISSN 1819-6608.




































